Bank Soal Matematika SMA Sistem Persamaan Linear Tiga Variabel

Soal

Pilgan

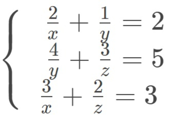
Jika merupakan penyelesaian dari sistem persamaan linear tiga variabel

maka

A

B

C

D

E

Pembahasan:

Persoalan di atas dapat diselesaikan dengan metode eliminasi-substitusi. Langkah-langkah penyelesaian sistem persamaan linear tiga variabel menggunakan metode eliminasi-substitusi adalah sebagai berikut.

Misalkan bentuk pecahan sehingga diperoleh sistem persamaan linear tiga variabel yang sederhana

Misalkan 1x=a,1y=b,1z=c\frac{1}{x}=a,\frac{1}{y}=b,\frac{1}{z}=c maka diperoleh sistem persamaan linear tiga variabel yang baru yaitu

Eliminasikan salah satu variabel dari dua persamaan

Pilih persamaan (1) dan (2) untuk mengeliminasi variabel bb sehingga diperoleh

Selesaikan sistem persamaan linear dua variabel yang diperoleh

Diperoleh sistem persamaan linear dua variabel yaitu

Selesaikan dengan metode eliminasi-substitusi

Proses eliminasi

Proses substitusi

Substitusikan nilai a=35a=\frac{3}{5} ke persamaan 8a3c=38a-3c=3

8a3c=38a-3c=3

8(35)3c=38\left(\frac{3}{5}\right)-3c=3

2453c=3\frac{24}{5}-3c=3

3c=3245-3c=3-\frac{24}{5}

3c=15245-3c=\frac{15-24}{5}

3c=95-3c=-\frac{9}{5}

c=35c=\frac{3}{5}

Substitusikan nilai a=35a=\frac{3}{5} ke persamaan 2a+b=22a+b=2

2(35)+b=22\left(\frac{3}{5}\right)+b=2

65+b=2\frac{6}{5}+b=2

b=265b=2-\frac{6}{5}

b=45b=\frac{4}{5}

Periksa nilai penyelesaian

Pada persamaan (1)

2a+b=22a+b=2

2(35)+(45)=22\left(\frac{3}{5}\right)+\left(\frac{4}{5}\right)=2

65+45=2\frac{6}{5}+\frac{4}{5}=2

105=2\frac{10}{5}=2

2=22=2 (benar)

Pada persamaan (2)

4b+3c=54b+3c=5

4(45)+3(35)=54\left(\frac{4}{5}\right)+3\left(\frac{3}{5}\right)=5

165+95=5\frac{16}{5}+\frac{9}{5}=5

255=5\frac{25}{5}=5

5=55=5 (benar)

Pada persamaan (3)

3a+2c=33a+2c=3

3(35)+2(35)=33\left(\frac{3}{5}\right)+2\left(\frac{3}{5}\right)=3

95+65=3\frac{9}{5}+\frac{6}{5}=3

155=3\frac{15}{5}=3 (benar)

Karena 1x=a\frac{1}{x}=a maka

1x=35\frac{1}{x}=\frac{3}{5}

Karena 1y=b\frac{1}{y}=b maka

1y=45\frac{1}{y}=\frac{4}{5}

Karena 1z=c\frac{1}{z}=c maka

1z=35\frac{1}{z}=\frac{3}{5}

Maka

2x+4y+1z=2(35)+4(45)+35\frac{2}{x}+\frac{4}{y}+\frac{1}{z}=2\left(\frac{3}{5}\right)+4\left(\frac{4}{5}\right)+\frac{3}{5}

=65+165+35=\frac{6}{5}+\frac{16}{5}+\frac{3}{5}

=255=\frac{25}{5}

=5=5

Video
31 Januari 2022
Sistem Persamaan Linear Tiga Variabel | Matematika Wajib | Kelas X
Rangkuman
08 April 2020
Bab 5 | Bangun Datar | Matematika | Kelas 4

Siswa

Ingin latihan soal, nonton, atau unduh materi belajar lebih banyak?

Buat Akun Gratis

Guru

Ingin akses bank soal, nonton, atau unduh materi belajar lebih banyak?

Buat Akun Gratis

Soal Populer Hari Ini

Cek Contoh Kuis Online

Kejar Kuis

Cek Contoh Bank Soal

Kejar Soal