Bank Soal Matematika SMA Tranlasi
Soal
Matematika Wajib LOTS
Rangkuman
Bab 5 | Bangun Datar | Matematika | Kelas 4
Selengkapnya
Soal Populer Hari Ini

sumber: tanya-tanya.com
Bagian fosfolipid bilayer yang bersifat hidrofobik ditunjukan nomor ....
Biologi
Level 11
Biologi
Sel
Struktur dan Fungsi Sel
Kelas XI
Kurikulum 2013
K13
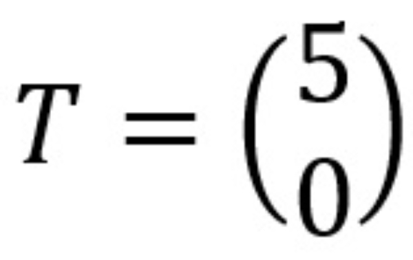
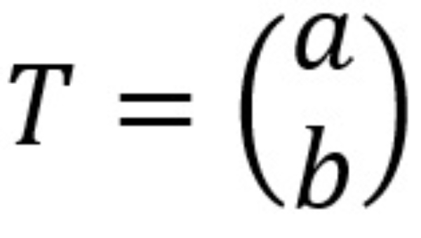
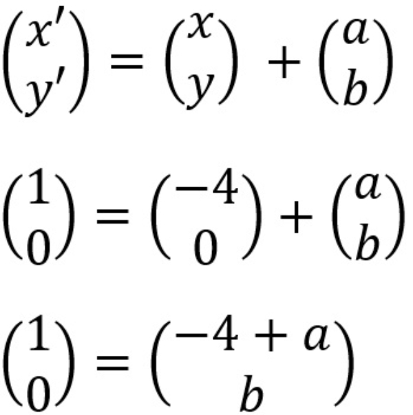
Perhatikan grafik berikut.

Translasi yang dapat memindahkan garis ke adalah ....
Matematika
Level 11
Geometri
Transformasi Geometri
Tranlasi
Kelas XI
Kurikulum 2013
K13
Matematika Wajib
Choose the right answer.

Sherly: What do you think of my appearance? Do I look okay with this dress?
Rachel: You look fabulous! But it will be more elegant if you wear these necklaces.
Sherly: That’s right!
The underlined sentence is the expression of ...
Bahasa Inggris
Level 11
Good Advice
Giving Advice or Suggestions
Kelas XI
Kurikulum 2013
K13
Bahasa Inggris
Diketahui benar untuk setiap bilangan asli untuk suatu bilangan asli . Pernyataan berikut yang tidak benar adalah ....
Matematika
Level 11
Logika
Induksi Matematika
Konsep dan Prinsip Induksi Matematika
Kelas XI
Kurikulum 2013
K13
Matematika Wajib
Di antara senyawa berikut yang bukan merupakan isomer dari 2,4-dimetiloktana adalah ....
Kimia
Level 11
Hidrokarbon dan Minyak Bumi
Hidrokarbon
Kelas XI
Kurikulum 2013
K13
Kimia
Perhatikan gambar berikut.

Poros berada di O dan titik O berada di tengah-tengah batang. Total torsi pada titik O adalah .... (; )
Fisika
Level 11
Fisika
Dinamika dan Keseimbangan Benda Tegar
Dinamika Benda Tegar
Kelas XI
Kurikulum 2013
K13
Berikut ini yang bukan merupakan zat hasil pemisahan minyak bumi adalah ....
Kimia
Level 11
Hidrokarbon dan Minyak Bumi
Minyak Bumi
Kelas XI
Kurikulum 2013
K13
Kimia
Perhatikan data di bawah ini!
- Ukuran partikel
- Luas area
- Suhu
- Jarak
Berdasarkan data di atas, faktor-faktor yang mempengaruhi kecepatan difusi adalah nomor ....
Biologi
Level 11
Biologi
Sel
Mekanisme Transpor Membran Plasma
Kelas XI
Kurikulum 2013
K13
Nilai yang memenuhi persamaan trigonometri untuk adalah ....
Matematika
Level 11
Trigonometri
Persamaan Trigonometri
Kelas XI
Kurikulum 2013
K13
Matematika Peminatan
Perhatikan tabel emisi karbon dioksida dalam setahun dari negara-negara berikut!

Negara mana yang memiliki emisi per kapita terkecil?
Fisika
Level 11
Fisika
Pemanasan Global
Pemanasan Global dan Efek Rumah Kaca
Kelas XI
Kurikulum 2013
K13
Cek Contoh Kuis Online
Kejar Kuis
Cek Contoh Bank Soal
Kejar Soal

sumber: tanya-tanya.com
Bagian fosfolipid bilayer yang bersifat hidrofobik ditunjukan nomor ....
Perhatikan grafik berikut.
Translasi yang dapat memindahkan garis ke adalah ....
Choose the right answer.

Sherly: What do you think of my appearance? Do I look okay with this dress?
Rachel: You look fabulous! But it will be more elegant if you wear these necklaces.
Sherly: That’s right!
The underlined sentence is the expression of ...
Diketahui benar untuk setiap bilangan asli untuk suatu bilangan asli . Pernyataan berikut yang tidak benar adalah ....
Di antara senyawa berikut yang bukan merupakan isomer dari 2,4-dimetiloktana adalah ....
Perhatikan gambar berikut.
Poros berada di O dan titik O berada di tengah-tengah batang. Total torsi pada titik O adalah .... (; )
Berikut ini yang bukan merupakan zat hasil pemisahan minyak bumi adalah ....
Perhatikan data di bawah ini!
- Ukuran partikel
- Luas area
- Suhu
- Jarak
Berdasarkan data di atas, faktor-faktor yang mempengaruhi kecepatan difusi adalah nomor ....
Nilai yang memenuhi persamaan trigonometri untuk adalah ....
Perhatikan tabel emisi karbon dioksida dalam setahun dari negara-negara berikut!
Negara mana yang memiliki emisi per kapita terkecil?