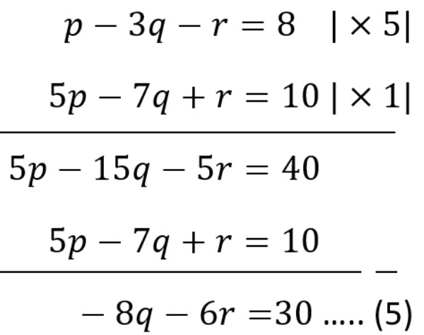
Bank Soal Matematika SMA Sistem Persamaan Linear Tiga Variabel
Soal
Rangkuman
Bab 5 | Bangun Datar | Matematika | Kelas 4
Selengkapnya
Soal Populer Hari Ini
sama dengan ...
Pilih semua jawaban yang benar.
Matematika
Level 4
Bilangan
Pecahan
Bentuk Pecahan
Kelas IV
Kurikulum 2013
K13
Matematika
Sebuah segitiga mempunyai tinggi 20 cm dan alas 8 cm. Luas segitiga tersebut adalah ... cm2
Matematika
Level 4
Geometri
Bangun Datar
Keliling dan Luas Segitiga
Kelas IV
Kurikulum 2013
K13
Matematika
Cerita khayalan yang tidak benar-benar terjadi, sifatnya menghibur dan mengandung nilai pendidikan adalah ....
Bahasa Indonesia
Level 4
Membaca
Buku Sastra
Ulasan Buku Sastra
Complete the gaps with the correct 'to be' in Simple Present Tense.
My mother ... an English teacher and her sisters ... nurses.
Bahasa Inggris
Level 4
Bahasa Inggris
Jobs
Simple Present Tense
Kelas IV
Kurikulum 2013
K13
Bilangan kelipatan 6 yang kurang dari 20 adalah . . .
Matematika
Level 4
Bilangan
Faktor dan Kelipatan
Kelipatan Bilangan
Kelas IV
Kurikulum 2013
K13
Matematika
Rumus keliling persegi yaitu …
Matematika
Level 5,6
Geometri
Bangun Datar
Persegi
Kelas V
Kelas VI
Kurikulum 2013
K13
Matematika
Faktorisasi prima dari 25 adalah ...
Matematika
Level 4
Bilangan
FPB dan KPK
Faktor dan Faktorisasi Prima
Kelas IV
Kurikulum 2013
K13
Matematika
Reza sedang mengerjakan ujian Matematika sebanyak 40 soal.
3 soal tidak dikerjakan Reza karena susah.
Banyak soal yang dijawab benar oleh Reza 11 kali banyak soal yang tidak dia jawab.
Soal yang dijawab salah oleh Reza adalah … soal.
Bahasa Indonesia
Level 3
Membaca
Teks Fiksi-Tokoh Cerita
Dongeng
Kelas III
Kurikulum 2013
K13
Bahasa Indonesia

Bila POQ adalah 50, maka besar QOR adalah ....
Matematika
Level 4,6
Geometri
Garis dan Sudut
Sudut
Kelas IV
Kurikulum 2013
K13
Matematika
Kelas VI
Berikut adalah diagram batang jumlah stok sabun pada tiap tahun.

Jumlah stok sabun terbanyak terdapat pada tahun?
Matematika
Level 4
Statistika
Bentuk Diagram
Membaca Diagram
Diagram
Kelas IV
Kurikulum 2013
K13
Matematika
Cek Contoh Kuis Online
Kejar Kuis
Cek Contoh Bank Soal
Kejar Soal
sama dengan ...
Pilih semua jawaban yang benar.
Sebuah segitiga mempunyai tinggi 20 cm dan alas 8 cm. Luas segitiga tersebut adalah ... cm2
Cerita khayalan yang tidak benar-benar terjadi, sifatnya menghibur dan mengandung nilai pendidikan adalah ....
Complete the gaps with the correct 'to be' in Simple Present Tense.
My mother ... an English teacher and her sisters ... nurses.
Bilangan kelipatan 6 yang kurang dari 20 adalah . . .
Rumus keliling persegi yaitu …
Faktorisasi prima dari 25 adalah ...
Reza sedang mengerjakan ujian Matematika sebanyak 40 soal.
3 soal tidak dikerjakan Reza karena susah.
Banyak soal yang dijawab benar oleh Reza 11 kali banyak soal yang tidak dia jawab.
Soal yang dijawab salah oleh Reza adalah … soal.
Bila POQ adalah 50, maka besar QOR adalah ....
Berikut adalah diagram batang jumlah stok sabun pada tiap tahun.
Jumlah stok sabun terbanyak terdapat pada tahun?