Latihan Matematika Wajib Kelas X Sistem Persamaan Linear Tiga Variabel
# 4
Pilgan

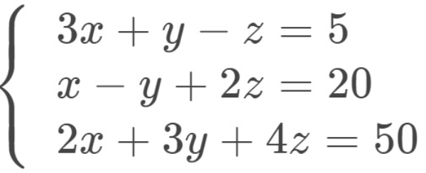
Jika merupakan penyelesaian dari sistem persamaan linear tiga variabel berikut

maka

A

B

C

D

E