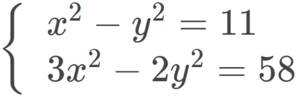
Diketahui
Himpunan penyelesaian (x,y) untuk sistem persamaan kuadrat-kuadrat dua variabel di atas adalah ....
HP={(6,5),(−6,5),(6,−5),(−6,−5)}
HP={(2,0),(−1,0)}
HP={(0,0),(1,−1)}
HP={(3,4),(−3,4),(3,−4),(−3,−4)}
HP={(1,−1),(0,1)}